高危型人乳头瘤病毒(HPV)核酸检测及
基因分型试剂注册审查指导原则
(2025年修订稿)
本指导原则旨在指导注册申请人对高危型人乳头瘤病毒(HPV)核酸检测及基因分型试剂注册申报资料的准备及撰写,同时也为技术审评部门审评注册申报资料提供参考。
本指导原则是针对高危型人乳头瘤病毒(HPV)核酸检测及基因分型试剂的一般要求,申请人应依据产品的具体特性确定其中内容是否适用,若不适用,需具体阐述理由及相应的科学依据,并依据产品的具体特性对注册申报资料的内容进行充实和细化。
本指导原则是供申请人和审查人员使用的指导性文件,不涉及注册审批等行政事项,亦不作为法规强制执行,如有能够满足法规要求的其他方法,也可以采用,但应提供详细的研究资料和验证资料。
本指导原则是在现行法规、标准体系及当前认知水平下制定的,随着法规、标准的不断完善和科学技术的不断发展,本指导原则相关内容也将适时进行调整。
一、适用范围
本指导原则适用于高危型人乳头瘤病毒(HPV)核酸检测及基因分型试剂注册申请和变更注册申请的情形。本指导原则针对高危型人乳头瘤病毒(HPV)核酸检测及基因分型试剂注册申报资料中的部分内容进行撰写,其他未尽事宜应当符合《关于公布体外诊断试剂注册申报资料要求和批准证明文件格式的公告》等相关法规要求。
本文所述高危型人乳头瘤病毒(HPV)核酸检测及基因分型试剂是指利用包括PCR-荧光探针法或其他分子生物学方法在内的核酸检测技术,以特定高危型HPV核酸(包括DNA和RNA)序列为检测目的,对人宫颈脱落上皮细胞进行体外定性检测的试剂,以确定受试样本中是否存在高于阳性判断值水平的高危型HPV病毒,或同时鉴定感染HPV的基因型别。此类试剂在临床上用于:(1)筛查宫颈细胞学检查为ASC-US(意义未确定的非典型鳞状上皮细胞)结果的患者,以确定是否需要进行阴道镜检查(以下简称ASC-US人群分流用途);(2)对于30岁及以上的女性,通过检测是否有高危型HPV感染,与宫颈细胞学检查联合进行宫颈癌筛查,此检测结合细胞学病史和其他风险因素的评估、以及临床诊疗和筛查指南的要求,用于指导患者的管理(以下简称宫颈癌联合筛查用途);(3)对于某年龄段(根据临床试验结果而定)女性,通过检测是否有高危型HPV感染,进行宫颈癌筛查,此检测结合细胞学病史和其他风险因素的评估、以及临床诊疗和筛查指南的要求,用于指导患者的管理(以下简称宫颈癌初筛用途)。除此以外,若申请人提出其他的预期用途,则应详细描述相关的临床背景信息和该检测与临床用途的相关性,并在临床试验中充分验证相关的临床意义。本指导原则仅针对上述三种预期用途提出相关要求。
这里所述的高危型HPV核酸检测试剂是指可同时检测多种高危型HPV但不能对阳性结果进行基因分型的试剂,高危型HPV基因分型试剂是指检测多种高危型HPV的同时可以对HPV阳性结果进行基因分型的试剂。
本指导原则适用的检测方法主要指基于核酸检测的分子生物学技术。如:杂交捕获法、酶切信号放大法、PCR-荧光探针法、荧光PCR熔解曲线法、转录介导的核酸扩增技术以及高通量测序技术等。这些方法在性能评价上可能会略有差异,但在技术指标方面均适用于本指导原则,以下有关注册申报资料的要求主要针对PCR-荧光探针法提出,其他方法学试剂应针对产品自身特点进行相应补充或修正。
二、注册审查要点
(一)通用要求
关于本指导原则所述产品的预期用途还有以下几点需要强调。第一,在年龄<30岁的女性中,虽然HPV感染率很高,但其自主清除率也很高,因此对于细胞学检查正常的受试者不建议再采用高危型HPV检测做联合筛查,在经过临床试验证实的基础上亦可直接采用高危型HPV检测作为初筛方法;此类高危型HPV核酸检测试剂对不同年龄段人群的适用情况应符合相关宫颈癌筛查指南的要求。第二,高危型HPV核酸检测试剂用于ASC-US人群分流或宫颈癌筛查时,其可覆盖的HPV基因型别应至少包含16、18、31、33、35、39、45、51、52、56、58、59、68型(共13种),产品亦可同时包含26、66、53、73、82型中的一个或数个型别。根据现有的研究成果,若可检测的HPV基因型别不能涵盖上述13种高危型,则可能造成阴性预期值无法达到临床要求,因此不建议单独用于上述预期用途。对于基因分型试剂,目前的研究数据已证实16、18型的基因分型检测用于辅助(宫颈癌筛查中)高危型HPV核酸检测阳性结果的分析是有临床意义的,可以进行注册申请,如申报产品增加其他基因型分型,应阐述其临床意义,并提供相关临床证据。第三,低危型HPV一般与尖锐湿疣或低度鳞状上皮内病变相关,在宫颈脱落上皮细胞中没有明确的临床意义,不适合与高危型HPV联合检测,在产品设计时,不应将低危型与高危型检测作为一个注册单元。第四,鉴于此类试剂的样本采集方法不利于量值溯源,无法保证定量检测结果的准确性,因此建议检测试剂定位为定性检测,本指导原则不适用于进行定量或半定量HPV核酸检测试剂的注册;第五,根据目前相关诊疗指南要求,宫颈脱落细胞样本应采用宫颈采样刷进行样本采集。最后,本指导原则只针对与宫颈上皮内瘤变及宫颈癌相关的高危型HPV检测。
(二)监管信息
1.产品名称及分类编码
产品名称应符合《体外诊断试剂注册与备案管理办法》及相关法规的要求,如高危型人乳头瘤病毒(HPV)核酸检测及16/18基因分型试剂盒(荧光PCR法)。根据《体外诊断试剂分类规则》,该产品按照第三类体外诊断试剂管理,分类编码为6840-01-01130/01131。
2.其他信息还包括产品列表、关联文件、申报前与监管机构的联系情况和沟通记录以及符合性声明等文件。
(三)综述资料
综述资料主要包括概述、产品描述、预期用途、申报产品上市历史及其他需说明的内容。应详细说明产品所采用的技术原理及检测流程。与已上市同类产品进行比较,比较内容包括样本类型、检测原理、HPV基因型、检测靶基因、分析性能和临床性能等。
与预期用途相关的临床适应证背景情况应详述高危型HPV核酸检测和宫颈癌之间的相关性以及HPV检测临床应用的限定要求。
(四)非临床资料
1.产品技术要求及检验报告
注册申请人应当在原材料质量和生产工艺稳定的前提下,根据产品研制、前期评价等结果,依据国家标准、行业标准及有关文献资料,结合产品特性按照《医疗器械产品技术要求编写指导原则》的要求编写产品技术要求。该类产品作为第三类体外诊断试剂,应当以附录形式明确主要原材料以及生产工艺要求。
高危型人乳头瘤病毒(HPV)核酸检测及基因分型试剂已有国家参考品的,技术要求中应体现国家参考品的相关要求,并使用国家参考品对三批产品进行检验。
产品技术要求的相关要求应不低于适用的国家参考品、行业标准相应的要求。
2.分析性能研究
注册申请人应采用在符合质量管理体系的环境下生产的试剂盒进行所有分析性能研究,提交具体试验方案、试验数据、统计分析结果及结论等详细资料。
如申报产品适用不同的机型,需要对各机型间进行差异分析(工作原理、检测方法、反应条件控制、信号处理等),并提交在不同机型上进行性能评估的研究或验证资料。如申报产品包含不同的包装规格,需要对各包装规格间的差异进行分析或验证。
分析性能评估所用样本的基本信息均需明确,例如样本来源、样本类型、采集和处理方式、稀释方式、阴阳性鉴定及浓度等。研究中采用的HPV阳性样本,应采用合理方法确定其阴阳性和浓度水平,并提交具体的试验资料。样本的核酸性质(DNA或RNA)应与产品检测的靶核酸一致。鉴于HPV病毒尚不能体外培养,可采用临床样本或感染HPV的细胞系,也可采用人工克隆或合成的HPV基因组DNA(或转录RNA)等。对于各项性能中采用的样本,在下述各项性能研究资料中分别提供样本信息列表。
申请人应对不同的样本保存液分别完成性能评估,包括检出限和重复性等,证明不同的样本保存液不会影响试剂的分析性能。
2.1样本稳定性
包括采集后未经处理的样本(如适用),加入样本保存液的样本,研究内容包括室温/冷藏/冷冻保存时间或冻融次数等。如适用不同的样本保存液,应分别进行研究。
如样本采集、处理后可不立即进行检测,还需对提取后核酸的保存条件和稳定性进行研究。
2.2适用的样本类型
列明产品适用的样本类型。
2.3准确度
可采用企业参考品验证或方法学比对的方法进行研究。
2.3.1企业参考品验证
根据主要原材料研究资料中的企业参考品设置情况,采用三批产品对企业参考品进行检验并提供详细的试验数据。
2.3.2方法学比对研究
采用方法学比对的方式进行研究,所用样本类型应与说明书声称的样本类型一致,并涵盖所有可检测的HPV基因型。
2.4精密度
应对精密度指标,如标准差或变异系数等的评价标准做出合理要求。应考虑运行、时间、操作者、仪器、试剂批次和地点等影响精密度的条件,设计合理的精密度试验方案进行评价,例如:为期至少20天的检测,具体方案可参考性能评价相关文件进行。
精密度评价试验应包含核酸分离/纯化步骤,每一次检测均应从核酸提取开始。鉴于模拟样本并不能体现临床样本可能带来的所有变异因素,因此精密度评价中应同时包含若干临床样本。精密度评价应覆盖检测范围内的全部HPV基因型别,其中16/18型应使用临床样本,其他HPV基因型可使用模拟样本。
用于精密度评价的模拟样本和临床样本均应至少包含3个水平:阴性样本、检出限水平样本、中/强阳性样本,并根据产品特性设定适当的精密度要求,例如:
阴性样本:不含待测物或待测物浓度为零时,阴性符合率应为100%(n≥20)。
检出限水平样本:检出限水平样本阳性检出率应≥95%(n≥20)。
中/强阳性样本:待测物浓度呈中度到强阳性,阳性符合率为100%且Ct值的CV≤5%(n≥20)。
2.5检出限
建议采用梯度稀释的方式进行检出限的确定,每个浓度梯度梯度的病毒稀释液重复检测,将具有95%阳性检出率的最低浓度水平作为确定的检出限。其中16/18型需使用临床样本进行检出限的验证。
应对申报产品声称可检测的HPV基因型分别进行研究。申请人可采用数字PCR、标准曲线等方法进行病毒核酸浓度的确定,应提供检出限研究用样本的来源、型别确认及病毒核酸浓度的确定方法及结果。可以copies/mL作为病毒核酸浓度的表示方式。
2.6分析特异性
2.6.1交叉反应
应针对预期用途不包含的其他HPV基因型,可在人类泌尿、生殖道寄生微生物,经性传播的其他病原体,其他常见病原体等进行交叉反应验证。用于交叉反应验证的样本,除HPV外的其他病原体应尽量采用灭活病原体培养物或临床样本。建议在病毒和细菌感染的医学相关水平进行交叉反应的验证。通常细菌感染的水平为106 CFU/mL或更高,病毒为105 PFU/mL或更高。如采用其他合理方法定值,应为相当的浓度。
首先应在HPV病毒不同基因型间进行交叉反应验证,其次采用其他的病原微生物进行验证(见附表1)。
应提供所有用于交叉反应验证的病毒和细菌的来源、种属/型别和浓度确认等试验资料。有关交叉反应验证的信息应以列表的方式在产品说明书的【产品性能指标】项中体现。
此外,建议针对被检测靶序列与人基因组及可能存在于人类泌尿、生殖道的微生物基因组进行基因序列比对,并提交比对结果,如有同源性序列则应进行交叉反应验证。
2.6.2干扰试验
2.6.2.1内源/外源物质干扰
应根据所采集样本类型,针对可能存在的内源/外源物质干扰情况进行验证。建议申请人在每种干扰物质的潜在最大浓度(“最差条件”)条件下进行评价,并针对代表性的HPV基因型(如16、18型),至少在HPV临界阳性水平进行干扰试验验证。干扰物质的选取应至少包括:血红蛋白、白细胞、宫颈粘液、阴道避孕药物、女性卫生用品、阴道用抗真菌药物、阴道润滑剂等。对结果进行合理的统计分析,对比添加干扰物质前后的 Ct 值差异。
2.6.2.2病原体干扰
申请人应结合产品适用的样本类型,充分考虑临床上容易与HPV病毒合并感染的病原体及与检测范围内的HPV基因型存在较高同源性的其他HPV基因型,在高浓度的情况下对低浓度(例如检出限浓度)被测HPV基因型检测的影响,进行病原体的干扰研究。
2.6.2.3竞争性干扰
申请人应充分考虑临床上常见的HPV不同基因型混合感染的情况,评价高浓度基因型对低浓度基因型检测的影响。建议申请人结合申报试剂的反应模式,使用同一反应体系内一种基因型低浓度和其他基因型高浓度的情况评估竞争性干扰。竞争性干扰试验可与检出限、重复性或其他干扰试验同时进行。
2.7核酸提取/纯化性能
在进行核酸检测之前,建议有核酸(DNA或RNA)提取/纯化步骤。该步骤的目的除最大量分离出目的核酸外,还应有相应的纯化作用,尽可能去除PCR抑制物。对配合使用的所有核酸提取试剂进行提取核酸纯度、浓度、提取效率及抗干扰的研究,必要时可考虑与质量较好的核酸提取试剂进行平行比对。若产品适用两种或以上核酸提取试剂,则每一种核酸提取试剂均需配合检测试剂进行检出限和精密度的验证。
2.8反应体系
2.8.1样本采集和处理
详述样本保存液、样本采集方式的选择和设置,提供相关的研究资料。如涉及不同的样本采集方式需进行检测结果一致性的评价。
2.8.2核酸提取和反应体系
研究确定最佳核酸提取和反应体系,包括核酸提取用的样本体积、洗脱体积和PCR反应试剂和样本体积、各种酶浓度、引物/探针浓度、dNTP浓度、阳离子浓度及反应各阶段温度、时间、循环数等。
提交不同适用机型基线和阈值循环数的确定资料。
不同适用机型的反应条件如果有差异应分别详述,并提交验证资料。
3.稳定性研究
申报试剂的稳定性主要包括实时稳定性、运输稳定性、开瓶稳定性、机载稳定性(如适用)及冻融次数限制(如涉及)等研究,申请人可根据实际需要选择合理的稳定性研究方案。稳定性研究资料应包括具体的实施方案、详细的研究数据以及结论。对于实时稳定性研究,应提供至少三批样品在实际储存条件下保存至成品有效期后的研究资料。
4.阳性判断值研究
对于此类试剂,阳性判断值即为能够获得理想的临床灵敏度和临床特异性的临界值(Cut-off),例如对于荧光PCR法即为Ct值的确定资料。
样本来源应具有多样性和代表性,考虑不同年龄、地域、不同时间和感染阶段等因素,尽量纳入含有干扰物质和其他易引起交叉反应病原体的样本。建议采用受试者工作特征(ROC)曲线的方式进行研究;如采用其他方法进行研究,应说明这种方法的合理性。如结果存在灰区,应提供灰区的确认资料。推荐申请人充分考虑产品用于分流、联合筛查或初筛用途的性能,确定相应的阳性判断值。注意应纳入包含一定数量CIN2在内的各种组织病理类型的样本进行研究。
提交阳性判断值研究所用样本的背景信息列表,至少包括样本来源机构、性别、年龄、临床诊断信息、检测结果等。
提供内标检测结果范围的确定方法和研究资料。
5.其他资料
5.1主要原材料研究资料
此类产品的主要原材料包括引物、探针、酶、dNTP、核酸分离/纯化组分(如有)、质控品及企业参考品等。应提供主要原材料的选择与来源、制备及质量标准等的研究资料、质控品的定值试验资料等。如主要原材料为企业自制,应提供其详细制备过程;如主要原材料源于外购,应提供资料包括:选择该原材料的依据及对比筛选试验资料、生产商提供的质量标准、出厂检验报告,以及该原材料到货后的质量检验资料。生产商应固定,不得随意更换。
5.1.1引物和探针:应详述引物和探针的设计原则,提供引物、探针核酸序列、模板核酸序列及两者的对应情况。建议设计两套或多套引物、探针以供筛选,针对所有检测范围内的HPV基因型别进行检出能力和特异性(如交叉反应)的评价,选择最佳组合,并提交筛选的研究数据。引物、探针的质量标准应至少包括序列准确性、纯度、浓度及功能性试验等。
5.1.2酶:需要的酶主要包括DNA聚合酶、尿嘧啶DNA糖基化酶等,应分别对酶活性、热稳定性、功能性等进行验证。
5.1.3脱氧三磷酸核苷(dNTP):包括dATP、dGTP、dCTP、dTTP、dUTP,应提供其纯度、浓度、功能性等验证资料。
5.1.4质控品(对照品)
试剂盒一般包含阴性质控品和阳性质控品。阳性质控品的核酸性质应与待测样本的靶核酸性质一致,如同为DNA或RNA,其中可不包含所有检测范围内的HPV基因型,但应选择临床较常见的或风险程度较高的基因型,至少包含16或18型。质控品需参与样本处理、核酸的平行提取和检测的全过程,以对整个提取和PCR扩增过程、试剂/设备、交叉污染等环节进行合理质量控制。应对阳性的检测结果(如Ct值)做出明确的范围要求。提交质控品的原料选择、制备、定值等的试验资料。
5.1.5内标
内标(内对照)可以对管内抑制导致的假阴性结果进行质量控制,应与靶核酸共同提取及扩增。需对内标的引物、探针设计和相关反应体系的浓度做精确验证,既要保证内标荧光通道呈明显的阳性曲线又要尽量降低对靶基因检测造成的抑制。明确内标的检测结果范围。
5.1.6企业参考品
该类产品的企业参考品一般包括阳性参考品、阴性参考品、检出限参考品和精密度参考品。企业参考品的核酸性质(DNA或RNA)应与产品检测的靶核酸一致,可采用感染HPV的细胞系,也可采用人工克隆或合成的HPV基因组DNA(或转录RNA)等。企业参考品基质需采用灭活临床样本。应提交企业参考品的原料来源、选择、制备、阴阳性及浓度确认等试验资料。企业参考品的设置建议如下:
阳性参考品:无论试剂盒能否进行HPV基因分型,均应针对检测范围内的全部HPV基因型分别设置。
阴性参考品:主要涉及对交叉反应的验证,适当纳入其他HPV基因型样本和其他生殖道病原体样本。
检出限参考品:可采用检出限或略高于检出限的浓度水平,应针对检测范围内的不同基因型分别设置。
精密度参考品:应选择临床较常见的或风险程度较高的基因型(至少包含16和18型)且包含每个反应管的代表性基因型,可不包含检测范围内的全部HPV基因型。至少设置弱阳性的浓度水平。
5.2生产工艺研究资料
介绍产品主要生产工艺,可用流程图结合文字的方式表述。提交主要生产工艺的确定及优化研究资料。
(五)临床试验
该类试剂应通过临床试验路径进行临床评价,临床试验包括产品临床检测性能研究和针对预期用途的临床有效性研究两部分。临床试验应符合《体外诊断试剂注册与备案管理办法》《医疗器械临床试验质量管理规范》和《体外诊断试剂临床试验技术指导原则》的要求,如相关法规、文件有更新,临床试验应符合更新后的要求。下面仅说明该类产品临床试验中应关注的重点问题。
1. HPV核酸临床检测性能研究设计
1.1临床试验方法
申请人应选择已批准上市、临床普遍认为质量较好的同类产品和/或核酸序列测定方法作为对比方法,采用拟申报产品与之进行比较研究试验,以评价拟申报产品检测目标HPV基因型的能力。需要注意的是,当拟申报产品的阳性判断值高于最低检测限水平时,检测结果判定为“阴性”的情况包括两种,其一为待测样本中存在高于最低检测限水平的HPV靶核酸,但靶核酸水平低于阳性判断值;其二为待测样本中无HPV靶核酸,或靶核酸水平低于最低检测限水平。在检测结果的统计分析中应分别列明各种情况,可参考表1。
表1 HPV核酸检测结果
拟申报产品 | 对比方法/测序 | 总计 | ||
阳性 | 阴性 | |||
阳性 | ||||
阴性 | 可检测到 不可检测到 | |||
总计 | ||||
1.2临床试验对比方法选择
临床试验应选择已上市的同类产品作为对比试剂,评价拟申报产品与已上市同类产品的一致性。对比试剂的选择应考虑产品预期用途、检测的高危型人乳头瘤病毒型别范围、产品性能等方面应与试验体外诊断试剂具有良好的可比性。针对不区分型别的检测试剂,应采用适当的方法确认纳入临床试验的阳性病例样本HPV型别;针对分型检测试剂,对比方法应能够充分评价每个型别的临床检测性能。选择已上市同类产品进行临床试验时,对比试剂配套使用的核酸提取试剂应满足其说明书要求。
申请人亦可采用试验体外诊断试剂与核酸序列测定(Sanger测序)方法进行对比试验,评价两种检测方法的一致性。同时还应纳入部分病例与已上市同类产品进行对比试验。以上两方面评价结果结合起来共同论证试验体外诊断试剂的临床性能。
临床试验资料中应对测序方法进行详细的介绍,应采用公认的靶基因进行测序,针对靶基因的选择应提供依据。明确检测过程中配套使用的核酸提取试剂,针对测序方法提交性能验证数据,证明测序方法与试验体外诊断试剂的可比性。如测序试验委托其他机构完成,还应提交由临床试验机构委托第三方机构/实验室开展相关试验的测序服务合同/协议。
有关核酸序列测定方法的资料要求:临床试验中如涉及核酸序列测定方法,则建议对扩增子进行双向测序。应在临床研究报告中对选用的测序方法做详细介绍,并提供以下关于测序试验的详细信息及资料。
1)测序方法原理、测序仪型号、测序试剂及消耗品的相关信息。
2)测序方法所用引物相关信息,如基因区段选择,分子量、纯度、功能性试验等资料。
3)对所选测序方法的分析性能进行合理验证,尤其是最低检测限的确认,建议将所选测序方法与拟申报产品的相关性能进行适当比对分析。
4)测序方法应建立合理的阳性质控品和阴性质控品对临床样本的检测结果进行质量控制。
5)提交有代表性的样本测序图谱及结果分析资料。
1.3临床试验受试人群的选择及样本采集
病例选择及样本类型:受试者应包含各种临床表现的人群,如:宫颈细胞学检查正常者、宫颈上皮细胞异常者以及诊断为宫颈上皮内瘤变(CIN)和宫颈浸润癌等的患者,受试者年龄应在产品适用人群的各年龄段(如:<30,30~39、40岁以上等)均有分布。
临床试验如因试验体外诊断试剂与对比试剂/方法由于样本采集、处理、保存等存在差异,不能使用同一份样本进行检测,可针对每位受试者进行两次样本采集,并分别进行试验体外诊断试剂和对比试剂/方法的检测,两次采集样本的顺序应遵循随机原则。需要注意的是,临床试验应保证一次样本采集不会影响下一次样本采集。
1.4临床试验样本量
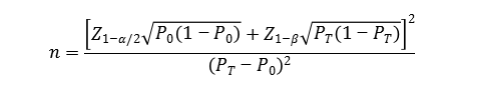
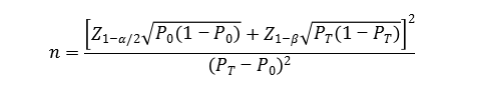
建议以与对比方法的比较研究为基础进行样本量估算。临床试验阳性样本和阴性样本数量应分别满足统计学要求。针对试验体外诊断试剂与已上市同类产品或Sanger测序法进行对比的试验,可采用单组目标值法公式分别估算整体最低阳性和阴性样本例数。
样本量估算公式如下,

公式中,n为样本量;Z1-α/2、Z1-β为显著性水平和把握度的标准正态分布的分数位,P0为评价指标的临床可接受标准,PT为申报产品评价指标预期值。
其中阳性符合率和阴性符合率的临床可接受标准(P0)建议不低于90%。临床试验结果中,相关评价指标的95%置信区间下限应不低于预设的临床可接受标准。当评价指标P接近100%时,上述样本量估算方法可能不适用,应考虑选择更加合理的方法进行样本量估算和统计学分析,如精确概率法等。申请人亦可以选择其他样本量估算模型,但应详述该样本量估算模型及相关参数设置的科学性、合理性。
临床试验中,针对产品检测范围内的每种HPV基因型均应具有一定的阳性例数。结合产品临床性能评价需要及HPV感染阳性率,建议16型阳性不低于100例,18型阳性不低于50例,其他各型别,如能够分型,建议各型别分别不低于30例;如不能分型,产品能够涵盖的各亚型建议分别不低于20例。针对临床试验过程中确实难以收集的亚型,在提供相关证据的前提下,病例数可酌情减少。
鉴于此类产品样本采集过程对检测结果的准确性至关重要,因此,如产品采用不止一种样本保存液,则应针对不同的样本保存液进行同源样本的比较研究试验,证明不同的样本保存液不会影响检测结果。相关比较研究试验应在2家以上(含2家)临床试验机构进行,样本例数不少于100例,阳性样本应有一定例数。
1.5统计学分析
应选择合适的统计学方法对比较研究试验的检测数据进行合理分析。对于此类试剂的比较研究试验,常选择交叉四格表的形式总结两种方法定性检测结果,计算阳性符合率、阴性符合率和总符合率,并计算95%置信区间,以考察两种方法检测结果的一致性。
对于基因分型试剂,临床试验中应分别验证该产品对可鉴别HPV基因型的临床检测准确性,针对不同基因型HPV分别完成如上所述的统计学分析。
结果差异样本的分析和验证:对于两种方法检测结果不一致的样本,申请人应针对具体情况进行合理分析,必要时选择其他合理的方法进行验证,亦可结合患者的临床病情进行分析。
2.预期用途的临床有效性研究设计
2.1针对ASC-US人群分流用途
2.1.1临床试验方法
申请人应在适合进行宫颈细胞学检查的女性中,入组宫颈细胞学检查为ASC-US的受试者,针对入组的ASC-US人群首先采用拟申报产品进行HPV核酸检测,然后,无论HPV检测结果如何,均应进行阴道镜检查,根据阴道镜检查结果,必要时取样进行组织病理学检查。建议采用同一份宫颈脱落上皮细胞样本,或同一时间采集的样本,进行细胞学检查和HPV检测,以避免样本取材不同带来的偏差;而宫颈细胞样本采集与阴道镜检查之间的时间间隔不应过长,建议不超过12周。以阴道镜检查和组织病理学检查结果为金标准,评价拟申报产品的临床性能。应注意,如产品声称除16、18型以外其他基因型可以分型,应提供关于其他基因分型具有临床意义的支持性资料,针对其他可鉴别的型别应保证该型别单独阳性病例中有≥CIN2病例检出。
2.1.2临床试验受试人群
临床试验应前瞻性入组宫颈细胞学检查为ASC-US的受试者。应避免选取已确定需进行阴道镜检查的人群,以免造成入组人群的倾向性,因此临床试验应以来自细胞学筛查的人群为主。入组人群应尽量在不同的年龄范围均有分布(<30、30~39和40岁以上)。
2.1.3临床试验病例数
应根据试验体外诊断试剂灵敏度要求、疾病患病率等对入组样本例数进行科学的分析和计算,本临床研究建议以临床灵敏度为主要评价指标,采用抽样精度的模型进行样本量估算。临床试验终点为病理学检查结果≥CIN2。可采用如下公式:
公式中n为阳性病例数量,Z1-α/2为置信度标准正态分布的分位数,P为评价指标预期值,一般不大于95%,临床试验总样本量结合患病率估算。应注意,P和Δ的取值应有充分依据。
2.1.4 统计分析
临床试验结果一般以四格表的形式进行总结,并据此计算临床灵敏度、临床特异性、阳性预期值、阴性预期值、阳性似然比、阴性似然比,并采用适当的方法计算95%置信区间;数据统计和分析方法参见表2和表3。
临床试验结果:通过灵敏度、特异度、阳性似然比和阴性似然比的结果判断试验体外诊断试剂用于ASC-US人群分流的临床性能是否能够满足临床要求。
表2 在ASC-US人群中HPV核酸检测结果与疾病状态相关性
HPV检测 结果 | 阴道镜阴性(无病理检查) | 组织病理学结果 | 合计 | |||
正常 | CIN1 | CIN2 | ≥CIN3 | |||
HPV阳性 | A1 | A2 | A3 | A4 | A5 | A1+A2+A3+A4+A5 |
HPV阴性 | B1 | B2 | B3 | B4 | B5 | B1+B2+B3+B4+B5 |
合计 | A1+B1 | A2+B2 | A3+B3 | A4+B4 | A5+B5 | N |
针对≥CIN2水平的临床性能评价:
临床灵敏度= (A4+A5)/(A4+B4+A5+B5)×100%
临床特异性= (B1+B2+B3)/(A1+B1+A2+B2+A3+B3)×100%
阳性预期值(PPV)=(A4+A5)/(A1+A2+A3+A4+A5)×100%
阴性预期值(NPV)=(B1+B2+B3)/(B1+B2+B3+B4+B5)×100%
阳性似然比=临床灵敏度/(1-临床特异性)
阴性似然比=(1-临床灵敏度)/临床特异性
针对≥CIN3水平的临床性能评价:
临床灵敏度= A5/(A5+B5)×100%;
临床特异性= (B1+B2+B3+B4)/(A1+B1+A2+B2+A3+B3+A4+B4)×100%
阳性预期值(PPV)=A5/(A1+A2+A3+A4+A5)×100%
阴性预期值(NPV)=(B1+B2+B3+B4)/(B1+B2+B3+B4+B5)×100%
阳性似然比=临床灵敏度/(1-临床特异性)
阴性似然比=(1-临床灵敏度)/临床特异性
表3在ASC-US人群中HPV基因分型检测结果与疾病状态相关性
HPV检测 结果 | 阴道镜阴性(无病理检查) | 组织病理学结果 | 合计 | ||||
正常 | CIN1 | CIN2 | ≥CIN3 | ||||
HPV16阳性 HPV18阳性 | A1 | A2 | A3 | A4 | A5 | A1+A2+A3+A4+A5 | |
B1 | B2 | B3 | B4 | B5 | B1+B2+B3+B4+B5 | ||
HPV16/18阳性 | C1 | C2 | C3 | C4 | C5 | C1+C2+C3+C4+C5 | |
… | … | … | … | … | … | … | |
其他HPV 阳性 | D1 | D2 | D3 | D4 | D5 | D1+D2+D3+D4+D5 | |
HPV阴性 | E1 | E2 | E3 | E4 | E5 | E1+E2+E3+E4+E5 | |
合计 | … | … | … | … | … | N | |
2.2针对宫颈癌联合筛查用途
2.2.1临床试验方法
该部分临床试验包括基础检测和受试者随访两部分,以下针对两部分内容分别介绍。
基础检测:入组人群应分别接受拟申报产品的HPV检测,记为基础检测数据,其中,若拟申报产品可进行16、18型HPV分型检测,则16、18型阳性的受试者应立即进行阴道镜检查,必要时结合组织病理学检查,结果为≥CIN2的受试者判为“阳性”,不再进行下述随访,其他受试者进入随访程序。
受试者随访:随访时间建议至少持续三年。基础检测结果HPV阳性的受试者每年接受随访,HPV阴性的受试者每三年接受一次随访,以及在随访终点接受随访。随访中应对受试者进行宫颈细胞学检查,其中检查结果为正常者继续随访,结果为≥ASC-US的受试者则应进行阴道镜检查,必要时结合组织病理学检查,结果为≥CIN2的受试者判为“阳性”,并终止随访,其他均应持续至随访终点,最终未发展为≥CIN2的受试者判为“阴性”。
2.2.2临床试验受试人群
临床试验应设置科学合理的病例入排标准,入组的受试人群应为未见上皮内病变或恶性细胞(NILM)的30岁以上女性。病例入组应为前瞻性入组。
2.2.3临床试验样本量
此项临床试验的入组人群应尽量在不同的年龄范围均有分布(30~39和40岁以上)。应根据试验体外诊断试剂灵敏度要求、疾病患病率等对入组样本例数进行科学的分析和计算,并根据临床实际情况对病例脱落比例设定合理要求,随访终点为病理学检查结果≥CIN2。临床试验可选择抽样精度模型进行样本量估算,公式如下。
公式中n为阳性病例数量,Z1-α/2为置信度标准正态分布的分位数,P为评价指标预期值,Δ为P的允许误差大小。临床试验结合患病率进行总样本量估算。
应注意,P和Δ的取值应有充分依据。
2.2.4统计学分析
针对HPV基础检测结果为阴性和阳性的受试者分别评价其发展为≥CIN2的绝对风险值和发展为≥CIN3的绝对风险值,计算HPV阳性组相对于阴性组发展为≥CIN2和≥CIN3的相对风险值及95%置信区间,确认产品性能满足临床要求。此外,HPV阴性人群的绝对风险值应足够低,以证明该方法对阴性人群的保护作用。最后,应给出受试人群总体的≥CIN2绝对风险值和≥CIN3绝对风险值。风险值的计算可参考如下方法(表4和表5):
表4 HPV检测结果和疾病(≥CIN2)状态相关性
HPV检测结果 | ≥CIN2人数 | <CIN2人数 | 合计 |
HPV16阳性 | A1 | A2 | A1+A2 |
HPV18阳性 | B1 | B2 | B1+B2 |
HPV16和/或18阳性 | C1 | C2 | C1+C2 |
HPV其他型阳性 | D1 | D2 | D1+D2 |
HPV阳性 | E1 | E2 | E1+E2 |
HPV阴性 | F1 | F2 | F1+F2 |
合计 | E1+F1 | E2+F2 | N |
表5 ≥CIN2的风险值计算
HPV检测结果 | 绝对风险值 | 相对风险值 | 95%置信区间 | |
相对HPV阴性 | 相对其他HPV阳性 | |||
HPV16阳性 | X1=A1/(A1+A2) | X1/X0 | X1/X4 | (2.5%,97.5%) |
HPV18阳性 | X2=B1/(B1+B2) | X2/X0 | X2/X4 | (2.5%,97.5%) |
HPV16和/或18阳性 | X3=C1/(C1+C2) | X3/X0 | X3/X4 | (2.5%,97.5%) |
HPV其他型 阳性 | X4=D1/(D1+D2) | X4/X0 | - | (2.5%,97.5%) |
HPV阳性 | X5=E1/(E1+E2) | X5/X0 | - | (2.5%,97.5%) |
HPV阴性 | X0=F1/(F1+F2) | - | - | - |
临床试验过程中应注意,如产品声称除16、18型以外其他基因型可以分型,针对其他可鉴别的型别应保证该型别单独阳性病例中有≥CIN2病例筛出。
产品灵敏度会影响接受HPV核酸检测人群转诊阴道镜的比例,过高的灵敏度可能使更多的CIN2以下的病例接受阴道镜,影响产品特异性,如产品灵敏度高于已上市同类产品,需要进行转诊阴道镜检测结果<CIN2人数/转诊阴道镜检测结果≥CIN2人数的分析,结果应符合临床要求。
2.3针对宫颈癌初筛用途
2.3.1临床试验方法
该部分临床试验包括基础检测和受试者随访两部分,以下针对两部分内容分别介绍。
基础检查:所有受试者分别进行HPV检测和细胞学检查,作为基础检查数据;其中,检测结果为16/18型阳性的受试者、HPV阳性同时细胞学检查结果为ASC-US的受试者、细胞学检查结果>ASC-US的受试者应立即进行阴道镜检查,必要时结合组织病理学检查,结果为≥CIN2的受试者判为“阳性”,不再进行下述随访,其他受试者进入随访程序。
受试者随访:随访时间至少持续三年。基础检查结果除16、18型外其余HPV阳性或细胞学检查ASC-US的受试者每年接受随访,HPV阴性且细胞学检查为正常的受试者每三年接受一次随访,以及在随访终点接受随访。随访方法与上述第2.2.1条所述一致,至少随访三年或组织病理学检查结果为≥CIN2。
2.3.2临床试验受试者选择
申请人应按照此项预期用途所述,随机选取需接受常规宫颈癌筛查且宫颈细胞学检查结果未知的女性作为受试者。病例入组应为前瞻性入组。
2.3.3临床试验样本量
可参考2.2.3。
2.3.4统计学分析
可参照上述第2.2.4条所述方法,HPV+组相对于HPV-组应呈现具有显著性差异的高风险值,NILM组相对于HPV-组应呈现具有显著差性异的高风险值。此外,HPV阴性人群的绝对风险值应足够低;同时计算受试人群总体的≥CIN2绝对风险值和≥CIN3绝对风险值。
此项临床试验的入组人群同样应在适用的年龄范围内不同的年龄段均有分布(<30、30~39和40岁以上),且各年龄段人群均具有一定数量,特别是当该预期用途适用于30岁以下人群时,该年龄段应有一定的阳性样本量,并针对该年龄段单独进行数据统计分析,以验证该试剂的初筛性能。除16、18型外可鉴别型别的要求可参考上述第2.2.4条。
综上,申请人应分别从HPV核酸检测准确性和临床意义两方面评价产品的临床性能。若临床试验未得到有显著统计学意义的结果,申请人应考虑阳性判断值设置是否科学,受试者入组标准是否存在偏差,受试者例数是否足够,病例脱落比例是否可以接受,或者随访年限是否需要延长等因素。同时,值得注意的是,临床试验的结果需综合评价,除了灵敏度、特异性、预期值、似然比、风险值的评价以外,HPV阳性率及CIN检出率等的统计同样重要,应符合客观规律。
3.临床试验机构的选择
应选择不少于3家(含3家)具备相应条件且按照规定备案的医疗器械临床试验机构开展临床试验。其选择应尽量考虑拟申报产品的特点和预期用途,综合流行病学背景,使临床试验机构和受试者的选择具有一定的地域代表性。且临床试验机构应具有分子生物学方法检测的优势,试验操作人员应有足够的时间熟悉检测系统的各环节,熟悉评价方案。
为了保证入组受试者代表性和临床试验可操作性,可委托社区卫生服务机构、乡(镇)卫生院、基层疾病预防控制机构等进行受试者招募,注意应由临床试验机构进行委托,临床试验机构应对临床试验整体质量控制、临床试验数据的真实性与合规性负责;临床试验中的检测分析(包括试验体外诊断试剂检测、对比方法或临床参考标准涉及的检测等)、数据管理及统计分析应由临床试验机构完成;受试者招募、知情同意书签署、样本采集等基础操作过程可由社区卫生服务机构等完成;有关任务分工等应在临床试验方案中明确,由审查该临床试验的伦理委员会审查批准;临床试验机构应建立相关管理制度,明确各方职责,加强培训和管理,确保临床试验结果真实、准确、完整和可追溯。
4.伦理学要求
临床试验必须符合赫尔辛基宣言的伦理学准则,必须获得临床试验机构伦理委员会的同意。研究者应考虑临床试验用样本的获得和试验结果对受试者的风险性,应提交伦理委员会的审查意见及受试者的知情同意书。
5.临床试验质量控制
开展临床试验前,申请人应与各临床试验机构协商制定统一的、科学合理的临床试验方案,按照临床试验方案组织制定标准操作规程,并进行验证,以确保临床试验操作在各个临床试验机构之间的一致性。在整个临床试验过程中均应遵循预定的方案,不可随意改动。临床试验应在临床试验机构的实验室内进行,并由本实验室的技术人员操作,申报单位的技术人员除进行必要的技术指导外,不得随意干涉试验进程,尤其是数据收集过程。
试验方案中应确定严格的病例纳入/排除标准,任何已经入选的病例再被剔除均应记录在案并明确说明原因。在试验操作过程中和判定试验结果时应采用盲法以保证试验结果的客观性,并在临床试验方案中详细说明样本编盲和揭盲的操作流程。
关于临床检测性能研究的比较研究试验,各临床试验机构选用的对比方法应一致,以便进行合理的统计学分析;在预期用途的临床有效性研究中涉及宫颈细胞学检查、阴道镜检查及组织病理学检查,应采用统一判读标准,保持各临床研究机构间判读的一致性;受试者随访中样本脱落的判定标准以及试验数据分析和统计方法等亦应在各临床研究机构间保持一致。以上内容均应在临床试验方案中有明确、清晰的表述。
临床试验开始前,应进行临床试验的预试验,以熟悉并掌握相关试验方法的操作、仪器、技术性能等,最大限度控制试验误差。整个试验过程均应处于有效的质量控制下,最大限度保证试验数据的准确性及可重复性。
6.临床证据的形式要求
申请人应按照《体外诊断试剂注册与备案管理办法》《关于公布体外诊断试剂注册申报资料要求和批准证明文件格式的公告》《医疗器械临床试验质量管理规范》等法规文件要求提交各机构伦理审查意见、临床试验方案、临床试验小结、临床试验报告以及临床试验数据库。
(六)产品说明书和标签样稿
产品说明书格式应满足《体外诊断试剂说明书编写指导原则》的要求。产品说明书中技术内容应与注册申报资料中的相关研究结果保持一致,如某些内容引用自参考文献,应以规范格式进行标注,并单独列明文献的相关信息。高危型HPV核酸检测及基因分型试剂说明书编写应重点关注以下内容。
1.【预期用途】
高危型HPV核酸检测及基因分型试剂的临床意义主要在于对妇女罹患宫颈疾病的风险程度提供信息,以便于临床医生结合病人的其他检查结果进行更加准确的疾病判断和科学的患者管理。
申请人应根据相关临床研究结果确定产品的预期用途。一般的,此类产品预期用途描述包含以下几方面:
(1)该产品用于体外定性检测女性宫颈脱落上皮细胞中高危型人乳头瘤病毒(HPV)(列出具体能够检测的基因型)核酸(明确检测靶物质,如DNA、RNA)。明确该产品是否能够鉴别HPV基因型。
(2)该类产品主要用于:
①筛查宫颈细胞学检查为ASC-US(意义未确定的非典型鳞状上皮细胞)结果的患者,以确定是否需要进行阴道镜检查;
②对于30岁及以上的女性,通过检测是否有高危型HPV感染,与宫颈细胞学检查联合进行宫颈癌筛查,此检测结合细胞学病史和其他风险因素的评估、以及临床诊疗和筛查指南的要求,用于指导患者的管理;
③对于某年龄段(根据临床试验结果而定)女性,通过检测是否有高危型HPV感染,进行宫颈癌筛查,此检测结合细胞学病史和其他风险因素的评估、以及临床诊疗和筛查指南的要求,用于指导患者的管理。
未做相关临床试验的产品应在此项下声明:由于未做相关验证,本产品不能用于相关临床预期用途(按照如上项目描述)。
(3)申请人应在此项下强调:
①如申报产品不包含上述第(2)③条所述的预期用途,则申请人应声明:此检测不能独立或优先于宫颈细胞学检查应用,不推荐在任何年龄段的人群中单独使用本检测进行宫颈癌筛查;此方法不能代替宫颈细胞学检查。
②年龄<30岁的女性中,HPV感染率很高,同时自主清除率也很高,因此对这部分人群,如宫颈细胞学检查正常则不应再采用高危型HPV检测进行联合筛查,建议仅采用宫颈细胞学方法进行筛查,或参照上述第(2)③条所述进行筛查。
③本试剂检测结果应结合宫颈细胞学检查及其他相关医学检查结果进行综合分析,不得单独作为患者管理的依据。
④高危型HPV核酸检测试剂的应用应符合相关临床诊疗和筛查指南的要求。
(4)此外申请人还应就以下内容进行简要介绍:
①临床背景的介绍,包括病原体生物学特征,基因型划分,感染后的临床症状及该检测的临床意义等。着重说明高危型HPV感染与宫颈癌的相关性,描述应客观、科学、全面。
②说明申报产品选择高危型HPV基因型的依据和考虑。原则上建议选择至少包含16、18、31、33、35、39、45、51、52、56、58、59、68基因型在内的多基因型联合检测的设计方式,以保证该产品用于宫颈癌筛查及风险评估的能力,亦可同时包含26、53、66、73、82型中的一个或数个型别。不应包含其他低危型HPV。
2.【检验原理】
详细说明试剂盒技术原理,及核酸分离/纯化方法、原理。说明检测的靶基因座位;介绍引物及探针设计、不同靶核酸反应体系(管)组合、质控品(对照品)设置及荧光信号标记等。如添加了相关的防污染组分,也应对其作用机理作适当介绍。
3.【主要组成成分】
明确试剂盒中各组分及主要成分。明确需要但未提供的材料,例如核酸提取试剂等的产品名称,生产厂家,货号及注册证号、备案号等信息。
4.【储存条件及有效期】
试剂盒的效期稳定性、开瓶稳定性、复溶稳定性、运输稳定性、冻融次数要求等。应与相应的稳定性研究结论一致。
5.【适用仪器】
所有适用的仪器型号,提供与仪器有关的重要信息以指导用户操作。
6.【样本要求】
明确适用的样本类型。详细描述样本采集及预处理要求、运输要求、保存条件及时间等。样本采集所需设备及保存液,需明确供应商、货号及注册证号(如有)。
若有通用的样本的采集及处理方式的技术规范或指南,应遵循并引用。
7.【检验方法】
详细说明试验操作的各个步骤,包括:
7.1试剂配制方法、注意事项。
7.2核酸分离/纯化的条件、步骤及注意事项,质控品(对照品)参与样本核酸的平行提取等。
7.3扩增反应前准备:各组分加样体积及顺序等。
7.4逆转录过程(如涉及)的温度和时间、PCR各阶段的温度和时间、循环数等。
7.5仪器设置:各适用机型的反应参数设置等。
7.6质量控制:明确质控品和内标的检测结果范围,作为实验有效性的标准。
8.【阳性判断值】
总结阳性判断值研究方法及结论。
9.【检验结果的解释】
结合质控品(对照品)以及样本管中靶基因和内标的检测结果,列明结果阴性、阳性、复测、无效等所有情形。
如有适用的临床诊疗或筛查指南,则应在此项下引用,相应检验结果的解释应符合相关指南的要求。
10.【检验方法的局限性】
10.1本试剂检测结果应结合宫颈细胞学检查及其他相关医学检查结果进行综合分析,不得单独作为患者管理的依据。
10.2 不合理的样本采集、转运及处理、以及不当的实验操作和实验环境均有可能导致假阴性或假阳性结果。
11.【产品性能指标】详述以下性能指标:
11.1国家参考品(如有)和企业参考品的符合情况。
11.2检出限:说明每种HPV基因型的检出限,简要介绍评价方法、所用样本情况。
11.3精密度:详细描述针对各种HPV基因型,采用不同来源的样本(如人工模拟样本和临床样本)在各个浓度水平进行的精密度评价结果,可采用列表形式描述。
11.4分析特异性:
交叉反应:说明经过交叉反应验证的病原体名称、交叉反应性及其验证浓度水平。
干扰试验:说明潜在干扰物质的评价浓度水平及干扰情况,病原体干扰及竞争性干扰情况。
11.5临床试验:简要介绍试验方法、受试者及样本、试验结果和结论等。
12.【注意事项】应至少包括以下内容:
12.1如该产品含有人源或动物源性物质,应给出生物安全性的警告。
12.2临床实验室应严格按照《医疗机构临床基因扩增实验室管理办法》等有关分子生物学实验室、临床基因扩增实验室的管理规范执行。
12.3强调产品性能仅针对声称的适用样本类型及【样本要求】项下说明的样本采集和处理方法(包括样本采集液等)进行了验证,其他样本类型或样本采集、处理方法不能保证产品性能。
三、参考文献
[1]国家市场监督管理总局.体外诊断试剂注册与备案管理办法:国家市场监督管理总局令第48号2021 [Z].
[2]国家药品监督管理局 国家卫生健康委员会.医疗器械临床试验质量管理规范:国家药品监督管理局 国家卫生健康委员会2022年第28号[Z].
[3]国家药品监督管理局.体外诊断试剂临床试验技术指导原则:国家药品监督管理局2021年第72号[Z].
[4]国家药品监督管理局医疗器械技术审评中心.体外诊断试剂说明书编写指导原则 (2023 年修订版):国家药品监督管理局医疗器械技术审评中心2024年第1号 [Z].
[5]国家药品监督管理局.医疗器械产品技术要求编写指导原则:国家药品监督管理局2022年第8号[Z].
[6] 国家药品监督管理局医疗器械技术审评中心.定性检测体外诊断试剂分析性能评估注册审查指导原则:国家药品监督管理局医疗器械技术审评中心2022年第36号[Z].
[7]中华预防医学会妇女保健分会.子宫颈癌综合防控指南[Z].2017.
[8] 李明珠,魏丽惠,隋龙,等.中国子宫颈癌筛查指南(一)[J].现代妇产科进展,2023,32(07):481-487.
附表1用于交叉反应研究的病原体
* HPV 6、11、16、18、26、31、33、35、39、40、42、43、44、45、51、52、53、54、56、58、59、61、66、67、68、69、70、71、72、73、81、82、83等基因型中产品预期用途不包含的HPV基因型 |
*单纯疱疹病毒Ⅱ型 |
*梅毒螺旋体 |
*解脲支原体、人型支原体、生殖支原体中至少两种 |
*淋病奈瑟菌(淋球菌) |
*白色念珠菌 |
*阴道毛滴虫 |
*沙眼衣原体 |
阴道棒状杆菌 |
短小棒状杆菌 |
鲍曼不动杆菌 |
耻垢分枝杆菌 |
脆弱类杆菌 |
阴沟肠杆菌 |
粪肠球菌 |
大肠杆菌 |
金黄色葡萄球菌 |
表皮葡萄球菌 |
甲型链球菌 |
乙型肝炎病毒 |
丙型肝炎病毒 |
HIV病毒 |
EB病毒 |
巨细胞病毒 |
单纯疱疹病毒Ⅰ型 |
注:其中标记*的项目为必做项目