首页
关于我们
主营业务
案例分享
新闻动态
联系我们
新闻动态

结直肠癌相关基因甲基化检测试剂盒临床试验注册审查指导原则

日期:2025/12/29 浏览:98次


 

结直肠癌相关基因甲基化检测试剂盒

临床试验注册审查指导原则

 

本指导原则旨在指导注册申请人对结直肠癌相关基因甲基化检测试剂盒的临床试验开展及临床试验资料的准备及撰写,同时也为技术审评部门提供参考。

本指导原则是对结直肠癌相关基因甲基化检测试剂盒的一般要求,申请人应依据产品的具体特性确定其中内容是否适用。若不适用,需具体阐述理由并提供相应的科学依据,同时依据产品的具体特性对注册申报资料的内容进行充实和细化。

本指导原则是供注册申请人和技术审评人员使用的指导性文件,但不包括审评审批所涉及的行政事项,亦不作为法规强制执行,应在遵循相关法规的前提下使用本指导原则。如果有能够满足相关法规要求的其他方法,也可以采用,但是需要提供详细的研究资料和验证资料。

本指导原则是在现行法规和标准体系以及当前认知水平下制定,随着法规和标准的不断完善,以及科学技术的不断发展,相关内容也将适时进行调整。

一、适用范围

我国结直肠癌(Colorectal cancer,CRC)的发病率和死亡率均保持上升趋势。结直肠镜检查结合病理活检作为结直肠癌确诊的金标准,由于其检查为有创检查,存在一定的局限性,临床患者依从性较低。通过检测粪便或外周血样本中相关基因甲基化水平辅助诊断结直肠癌具有一定的临床使用价值,是对传统诊断方法的有效补充。

本指导原则所述基因甲基化检测试剂盒是指基于核酸聚合酶链式反应(PCR法)或其他分子生物学方法,用于体外定性检测人粪便或血浆样本中的人基因甲基化的体外诊断试剂,临床用于结直肠癌的辅助诊断。适用人群仅限于临床医生建议进行结肠镜检查,但因病人依从性差或其他医学原因不适合接受结肠镜检查的患者,该检查不能单独作为结直肠癌确诊的依据。本指导原则不适用于结直肠癌筛查用途的产品。

对于其他被测物、其他样本类型适用于相同预期用途的产品,可根据产品特点考虑本指导原则的适用性,并参考执行。

二、注册审查要点

(一)临床评价资料

1.临床评价路径和基本要求

该类产品应通过临床试验路径进行临床评价,临床试验的开展应符合《体外诊断试剂注册与备案管理办法》《医疗器械临床试验质量管理规范》以及《体外诊断试剂临床试验技术指导原则》的相关要求,如相关法规、规章、规范性文件有更新,临床试验应符合更新后的要求。

2.临床试验开展应具备的基础

临床试验开展应建立在充分的非临床研究基础之上,包括科学的产品设计、充分的分析性能研究、阳性判断值研究等。并在此基础上确定明确的产品预期用途,包括适用场景和适用人群。

针对多项标志物联合检测产品,应提供标志物选择的依据,确认分析标志物组合的合理性。

3.临床试验设计和实施的要求  

临床试验应选择不少于3家(含3家)符合要求的临床试验机构开展。

临床试验应按照产品说明书的要求采集样本、评价样本质量、完成样本处理、检测和结果解读。试验中按要求进行相应的设盲操作,试验全过程注意避免引入偏倚。临床试验产生的所有信息应进行详实的记录。

临床试验建议从以下三个方面对产品临床性能进行评价。

3.1结直肠癌辅助诊断临床性能的评价

3.1.1试验方法

建议采用试验体外诊断试剂与结直肠癌诊断的临床参考标准进行比较研究,评价试验体外诊断试剂对于结直肠癌辅助诊断的临床灵敏度、临床特异度等指标。按照结直肠癌诊疗指南和诊疗规范的相关要求,临床参考标准建议采用结肠镜检查和/或组织病理学检查。

3.1.2入组标准

入组受试者应为临床医生建议进行结肠内镜检查的结直肠癌或结直肠癌前病变疑似病例。入组受试人群应包括结直肠癌不同分期(Ⅰ、Ⅱ、Ⅲ、Ⅳ期)患者、结直肠进展期腺瘤患者、肠道良性疾病患者(肠息肉、肠腺瘤、肠炎、肠黑变病等)及其他适用人群。

为了对产品临床特异度进行充分评价,还应纳入其他消化系统肿瘤患者包括胃癌、肝癌、食管癌、其他消化系统肿瘤(胆管癌、胰腺癌等)等。对于血浆样本检测试剂还应纳入常见非消化系统肿瘤患者包括肺癌、乳腺癌、宫颈癌、甲状腺癌等。其他肿瘤患者病例应具有影像学可评价的肿瘤,各种肿瘤疾病患者的诊断依据相关疾病诊疗规范执行。

3.1.3样本量

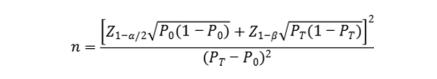
可采用单组目标值法公式估算最低样本量:

 

公式中,n为样本量;Z1-α/2、Z1-β为显著性水平和把握度的标准正态分布的分数位,P0为评价指标的临床可接受标准,PT为试验体外诊断试剂评价指标预期值。

评价指标包括临床灵敏度、临床特异度以及各亚组的临床灵敏度、临床特异度。应分别估算结直肠癌患者例数、干扰组病例数(包括肠道良性疾病患者、其他癌症患者等)以及肠道无显著发现例数。根据已有文献数据,经统计学估算,建议结直肠癌病例不少于200例,其中各分期病例均应有一定例数,建议Ⅰ期不少于80例,Ⅱ期不少于50例;进展期腺瘤不少于200例;胃癌、肝癌、食管癌建议分别不少于30例,其他各种消化道癌症亦均应有病例入组且总例数建议不少于30例;针对血浆样本类型,非消化系统各种癌症病例建议每种不少于30例。

3.1.4临床评价指标和统计学分析

一般采用四格表方式对临床试验结果进行总结,计算灵敏度、特异度并计算95%置信区间。同时应针对结直肠癌不同分期、以及进展期腺瘤患者分别计算临床灵敏度;针对不同类型肠道良性疾病患者、其他不同癌种病例以及肠道无显著发现患者分别分析临床特异度。

依据临床需求和已报道研究数据,部分关键亚组临床性能评价指标推荐的最低可接受标准(95%置信区间下限)见表1, 针对血浆样本类型,应设置科学合理的最低可接受标准。

 

表1粪便样本类型产品亚组临床评价指标推荐最低可接受标准

亚组

评价指标

预期可接受标准

结直肠癌

临床灵敏度

80%

进展期腺瘤

临床灵敏度

40%

其他腺瘤

临床特异度

80%

其他恶性肿瘤

临床特异度

80%

肠道无显著发现

临床特异度

90%

 

对于检测结果与临床诊断结论不一致的样本,应结合患者疾病背景信息、其他临床实验室检验结果等对差异原因进行合理分析。

3.2基因甲基化检测性能的评价

3.2.1试验方法

针对所有被测基因,建议采用试验体外诊断试剂与已上市同类产品或实验室参考方法进行对比试验。基因甲基化检测实验室参考方法可以为Sanger测序法、NGS、数字PCR等。实验室方法应进行充分的性能验证,包括最低检出限、准确度、精密度等,确认与试验体外诊断试剂具有良好的可比性。同时提供详细的方法建立和性能验证资料。如对比方法检测试验委托第三方实验室或检测机构完成,应提供临床试验机构委托该试验的委托协议。

当试验体外诊断试剂包含多项被测物时,原则上应针对所有标志物分别进行检测性能评价。如不适用,应提供充分的理由和依据,并采用合理的方法进行检测性能评价。

3.2.2入组标准

入组受试者应为临床医生建议进行结肠内镜检查的结直肠癌或结直肠癌前病变疑似病例。

3.2.3 样本量

应针对所有基因(如适用)分别估算阳性样本量和阴性样本量,建议采用单组目标值法公式,目标值(P0)设定应有合理依据,基因甲基化检测阳性符合率、阴性符合率目标值建议不低于90%。

3.2.4 临床评价指标和统计学分析

采用四格表方式对临床试验结果进行总结,计算阳性符合率、阴性符合率和总符合率,并计算95%置信区间。

如为多项基因甲基化联合检测,应针对不同基因甲基化分别估算样本量,并分别进行统计分析。

对于检测结果不一致的样本,建议结合患者疾病背景信息、其他临床实验室检验结果等对差异原因进行合理分析。

3.3手术前后基因甲基化检测评价

对于尚无同类产品上市的产品,开展临床试验时建议入组一定数量罹患结直肠癌或癌前病变、且治疗前本产品检测为阳性的患者,收集其手术前后的样本,采用试验用体外诊断试剂进行检测,评价术后阴转百分比(参表2)。对于未见阴转的病例,应结合患者疾病治疗效果进行合理分析。

 

表2 术后阴转百分比评价


术前

术后

阴转百分比

检测阳性

a

b

(a-b)/a*100%

 

术前术后采样时间应结合疾病发展规律及治疗后监测时间要求进行科学设定,建议收集患者手术后半年内的样本进行检测。此部分样本量建议不少于40例。

4.临床试验质量控制

4.1方案设计的偏倚控制

不同的入组方式和入排标准会带来入组人群的分布特征差异。为保证入组人群对筛查目标人群总体具有良好的代表性,临床试验方案应设置合理的入排标准,应分析目标人群的分布特征以及患病率等流行病学数据,以保证临床试验各人群占比结构合理性,避免带来入组人群的选择偏倚。

4.2 试验实施质量控制

良好的结肠镜检查质量和息肉活检率是准确的临床诊断参考标准的有效保证。结肠镜检查质量应符合临床公认的高质量检查标准,即良好的肠道准备、盲肠插镜以及退镜时间至少6分钟。结肠镜息肉均应进行活检。

应注意试剂检测和结肠镜检查的时间间隔。试验体外诊断试剂的样本采集应在结肠镜检查之前完成,与结肠镜检查的时间间隔建议不超过12周,以降低偏倚风险,保障数据的可比性和结果的科学性。

5.伦理学要求

临床试验应当遵守《世界医学大会赫尔辛基宣言》的伦理学准则,必须获得伦理委员会的同意。研究者应充分考虑临床试验用样本的获得和试验结果对受试者的风险性,应提交伦理委员会的审查意见。

6.临床试验方案、小结和报告

各临床试验机构应采用同一方案,并在整个临床试验过程中严格执行,不可随意改动。方案中对试验设计类型、对比方法选择、受试者选择、评价指标、统计分析方法、样本量估算和质量控制要求等做出明确的规定,并根据各临床试验机构情况合理确定样本量分配计划。各临床试验机构选用的对比方法应保持一致,以便进行合理的统计学分析。

各临床试验机构应对临床试验数据和实施情况进行总结,出具临床试验小结。

临床试验报告应对整体临床试验实施过程、结果分析、试验结论等进行条理分明的描述,并应包括必要的数据和统计分析方法。

数据汇总表应详细填写患者的临床背景信息,包括临床诊断的确诊依据、癌症的分类分期等结果。

(二)产品说明书

产品说明书中【预期用途】项下建议描述为:

本产品用于体外定性检测人XX样本中XXX基因的甲基化。

本产品仅适用于临床医生建议进行结肠镜检查、因病人依从性差或其他医学原因不适合接受结肠镜检查的患者。用于结直肠癌的辅助诊断,检测结果仅供临床参考。不能作为肿瘤早期诊断或确诊的依据。本产品检测结果为阳性不是结直肠癌的确证证据,相关患者应转诊结肠镜检查;本产品检测结果为阴性并不能保证没有结直肠癌,如有必要,仍应建议患者继续接受临床诊疗规范中适用的其他诊断措施。临床医生应结合患者症状、体征、其他临床诊断结果及个人结直肠癌相关风险因素等对患者病情进行综合判断。本产品不能替代肠镜,不能替代病理学检查。不能用于人群的肿瘤筛查。

本产品不推荐用于已确诊结直肠息肉、结直肠癌或相关肠道疾病,如炎症性肠病(IBD)、慢性溃疡性结肠炎(CUC)、克罗恩病、家族性腺瘤性息肉病(FAP)病史的患者,及有CRC家族史等患者。

三、参考文献

[1]国家市场监督管理总局.体外诊断试剂注册与备案管理办法:国家市场监督管理总局令第48号[Z].

[2]国家药监局 国家卫生健康委.医疗器械临床试验质量管理规范:国家药监局 国家卫生健康委关于发布《医疗器械临床试验质量管理规范》的公告(2022年第28号)[Z].

[3]国家药监局.体外诊断试剂临床试验技术指导原则:国家药监局关于发布体外诊断试剂临床试验技术指导原则的通告(2021年第72号)[Z].

[4]国家卫生健康委员会医政司,中华医学会肿瘤学分会. 国家卫生健康委员会中国结直肠癌诊疗规范(2023版)[J].中华普通外科杂志,2023,38(8):561-581.

[5]国家癌症中心中国结直肠癌筛查与早诊早治指南制定专家组.中国结直肠癌筛查与早诊早治指南(2020,北京). 中华肿瘤杂志,2021,43(01):16-38.

[6] NCCN Clinical Practice Guidelines in Oncology: Colon Cancer. Version 2.2021.

[7] Shaukat A, Kahi CJ, Burke CA, Rabeneck L, Sauer BG, Rex DK. ACG Clinical Guidelines: Colorectal Cancer Screening 2021. Am J Gastroenterol. 2021 Mar 1;116(3):458-479. 

[8]中国临床肿瘤学会(CSCO)结直肠癌诊疗指南2021[M].人民卫生出版社,2019.

[9]国家消化系统疾病临床医学研究中心(上海),国家消化道早癌防治中心联盟,中华医学会消化内镜学分会,等. 中国早期结直肠癌筛查流程专家共识意见(2019,上海). 中华健康管理学杂志,2019,13(5):376-386.

[10]中国抗癌协会大肠癌专业委员会中国结直肠肿瘤早诊筛查策略制订专家组.中国结直肠肿瘤早诊筛查策略专家共识.中华胃肠外科杂志,2018,21(10):1081-1086.