HLA-B*27基因检测试剂注册审查
指导原则
本指导原则旨在指导注册申请人对人类白细胞抗原B27(HLA-B*27)基因检测试剂注册申报资料的准备及撰写,同时也为技术审评部门提供参考。
本指导原则是对HLA-B*27基因检测试剂的一般要求,申请人应依据产品的具体特性确定其中内容是否适用。若不适用,需具体阐述理由及相应的科学依据,并依据产品的具体特性对注册申报资料的内容进行充实和细化。
本指导原则为注册申请人和技术审评人员使用的指导性文件,但不包括审评审批所涉及的行政事项,亦不作为法规强制执行,应在遵循相关法规的前提下使用本指导原则。如果有能够满足相关法规要求的其他方法,也可以采用,但需要提供详细的研究资料和验证资料。
本指导原则是在现行法规和标准体系以及当前认知水平下制定,随着法规和标准的不断完善,以及科学技术的不断发展,相关内容也将适时进行调整。
本指导原则针对相关产品注册申报资料中的部分内容进行撰写,其他未尽事宜应当符合相关法规要求。
一、适用范围
本指导原则适用于基于荧光PCR法,定性检测人静脉全血样本中的HLA-B*27基因的试剂,用于强直性脊柱炎的辅助诊断。
对于采用其他分子生物学检测方法(如基因测序法)或其他样本类型的检测试剂,可能部分要求不完全适用或本文所述内容不够全面;申请人可参考本指导原则,同时依据产品特性对适用部分进行评价,对不适用部分阐述不适用的理由,并验证替代方法的科学合理性。
本指导原则适用于HLA-B*27基因检测试剂注册申请和变更申请的情形。本指导原则仅针对HLA-B*27基因检测试剂注册申报资料中的部分内容进行撰写,其他未尽事宜应当符合《关于公布体外诊断试剂注册申报资料要求和批准证明文件格式的公告》等相关法规要求。
二、注册审查要点
(一)监管信息
1.产品名称及分类编码
产品名称应符合《体外诊断试剂注册与备案管理办法》及相关法规的要求,同时建议申请人参考已上市同类产品的产品名称。根据《体外诊断试剂分类规则》,该产品按照第三类体外诊断试剂管理,分类编码为6840。
2.其他信息还包括产品列表(应包含医疗器械唯一标识)、关联文件、申报前与监管机构的联系情况和沟通记录以及符合性声明等文件。
(二)综述资料
综述资料主要包括概述、产品描述、预期用途、申报产品上市历史及其他需说明的内容。其中,产品描述应详述技术原理、产品主要研究结果的总结和评价、与同类和/或前代产品的比较等。与同类和/或前代产品的比较应着重从预期用途、技术原理、主要组成成分、性能指标、临床应用情况等方面详细说明申报产品与已获批准的同类/前代产品之间的主要区别。
(三)非临床资料
1.产品技术要求及检验报告
注册申请人应当在原材料质量和生产工艺稳定的前提下,根据产品研制、前期评价等结果,依据相关文件资料,结合产品特性按照《医疗器械产品技术要求编写指导原则》的要求编写。该类产品作为第三类体外诊断试剂,应当以附录形式明确主要原材料以及生产工艺要求。
第三类体外诊断试剂应当提供三个不同生产批次产品的检验报告。目前已有适用的国家标准品发布,技术要求中应体现国家标准品的相关要求。
2.分析性能研究
注册申请人应提交在符合质量管理体系的环境下生产的试剂盒进行的所有分析性能评估资料,包括具体试验方案、试验数据、统计分析结果及结论等详细资料。有关试验的背景信息也应在申报资料中进行描述,包括试验地点,采用的试剂名称、规格和批号,仪器名称和型号,样本的背景信息(来源、样本编号、样本类型、采集及处理方式、基因型和浓度确认方法及结果)等。分析性能评估用样本应为真实样本,如声称多种适用样本类型,注册申请人应针对不同样本类型分别完成性能评估研究。
分析性能评估的试验方法可以参考国际或国内有关体外诊断试剂性能评估的指导原则进行,对于本类产品建议着重对以下分析性能进行研究。
2.1样本稳定性及适用的样本类型
应充分考虑样本采集/处理、运输、保存等各环节的影响,确定样本的保存条件及保存时间并对样本稳定性进行充分验证。如样本提取后不立即进行检测,则还需对提取后的DNA稳定性进行充分研究。如声称多种适用样本类型,注册申请人应针对不同样本类型分别进行样本稳定性研究。
对于全血样本,如适用多种抗凝剂,建议通过同源比对研究对一定数量的临床样本验证各种抗凝剂的适用性。
2.2准确度
可通过申报产品与测序结果或已上市同类产品进行方法学比对研究,评价申报产品的准确度。
评价准确度的样本应为真实临床样本;样本型别覆盖预期用途中的检测范围,包括阴性样本、中国人群常见基因亚型(HLA-B*27:04、HLA-B*27:05、HLA-B*27:02和HLA-B*27:07等)阳性样本或申报产品声称的每种基因亚型样本;同时考虑临床实际使用中预期人群的白细胞水平高低不一,各亚型应纳入不同浓度水平的样本。
2.3精密度
包括重复性、中间精密度和再现性。
精密度评价应采用真实样本进行研究,纳入阴性样本、弱阳(检出限附近)样本和强阳样本。试验操作应按照说明书执行,需包含核酸提取/纯化等样本处理步骤。
精密度评价需满足如下要求:
2.3.1对可能影响检测精密度的主要因素进行验证,除检测试剂(包括核酸提取/纯化组分)本身外,还包括仪器、操作者、地点、时间、检测轮次、试剂批次等。
2.3.2设定合理的精密度评价周期,并对批内/批间、日内/日间、不同操作者间和不同实验室间的精密度进行综合评价。
2.3.3可结合产品的特点,对精密度指标评价标准做出合理要求,如CV值。
2.4最低检出限和检测上限
2.4.1最低检出限和检测上限的建立
最低检出限为在满足检测准确性和精密度的条件下,能够检出目标基因的人基因组DNA最低浓度。
可采用梯度浓度的人基因组DNA样本进行多次重复检测,确定95%检出率水平下的人基因组DNA最低浓度,即为最低检出限。系列稀释度应能够覆盖大部分检出概率区间(0~100%),可根据各浓度梯度检测结果直接判定,也可通过适当的模型(如Probit分析)和其他分析方法计算申报产品在设定概率下的检出限,一般在该检测浓度下应具有95%的检出率。
同时,申请人亦应评价可准确检出的人基因组DNA浓度上限,即适当检出率水平下的人基因组DNA最高浓度,明确最高浓度的接受标准及其设定依据。
应采用临床样本进行检出限及检测上限研究。
2.4.2最低检出限和检测上限的验证
选取与建立不同的临床样本进行验证,建议对最低检出限和检测上限附近浓度水平的样本进行至少20次的重复检测,应满足95%以上检出率要求。
2.5 分析特异性
2.5.1干扰试验
可通过在临床样本中添加干扰物质的方式,评价添加前后干扰物质对靶基因检测的影响。研究用样本应包含阴
性样本、弱阳性样本和中阳性样本(正常白细胞浓度水平样本)。
建议注册申请人在每种干扰物质的潜在最大浓度(“最差条件”)条件下进行评价,如有干扰,应确定不产生干扰的最高浓度。
应针对可能的内源和外源性干扰物进行干扰试验研究。对于全血样本,内源性干扰物质应包括血红蛋白、甘油三酯、胆红素、白蛋白;外源性干扰物质应包括乙醇、乙醛、预期人群常用治疗药物等如消炎痛、泼尼松、吡罗昔康、美洛昔康、 塞来昔布、 双氯芬酸钠、 吲哚美辛、 萘丁美酮、 布洛芬、 萘普生、柳氮磺胺吡啶等。
同时纳入有代表性的患者样本,通过对申报产品与不受该干扰物影响的测量方法检测结果进行对比,进行干扰物质研究。
2.5.2交叉反应
应对与靶基因序列相近或具有同源性、易引起交叉反应的其他HLA基因的基因序列进行交叉反应研究。
2.6 其他性能研究
2.6.1如申报产品的检测靶标为具体基因亚型且不能分型,分析性能研究中应对申报产品声称的每种基因亚型进行研究和验证。
2.6.2包容性研究
如申报产品的检测靶标为HLA-B*27基因,应证明申报试剂具有检出不同HLA-B*27亚型的能力。应至少包括中国人群已知常见亚型B*27:02、B*27:04、B*27:05、B*27:07等。
包容性研究应分别对上述常见亚型进行精密度(重复性、中间精密度和再现性精密度)研究和最低检出限的验证。
2.7核酸提取/纯化性能
在进行核酸检测之前,建议有核酸提取/纯化步骤。对配合使用的所有核酸提取试剂进行提取核酸纯度、浓度、提取效率的研究,并与质量较好的核酸提取试剂进行平行比对。
若产品适用两种或以上核酸提取试剂,则每一种核酸提取试剂均需配合检测试剂进行再现性精密度、检出限和抗干扰的验证。
2.8反应体系研究
2.8.1样本采集和处理
请详述样本的采集及处理方式,明确样本的保存介质。
2.8.2反应体系
应依据产品特性,提供反应体系的确定研究资料。包括但不限于核酸提取用的样本体积、洗脱体积和PCR反应中样本和试剂的加样体积、各种酶浓度、引物/探针浓度、dNTP浓度、阳离子浓度及反应条件(如:温度、时间、循环数)等。
如有多个适用机型,需提供不同适用机型基线和阈值的确定资料。不同适用机型的反应条件如果有差异应分别详述,并提交验证资料。
3.稳定性研究
申请人可根据实际需要选择合理的稳定性研究方案。稳定性研究资料应包括研究方法的确定依据、具体的试验方案、试验数据、结果以及结论。
3.1实时稳定性研究
提交至少三批申报产品在实际储存条件下保存至成品有效期后的研究资料。明确储存的环境条件(如温度、湿度和光照)及有效期。
3.2使用稳定性
提交申报产品实际使用期间稳定性的研究资料,应包括所有组成成分的开封稳定性。适用时提交复溶稳定性、机载稳定性及冻融次数研究资料等。明确产品使用的温度、湿度条件等。
3.3运输稳定性
以文字结合图示的方式详细描述运输包装,明确产品实际运输的环境条件(如温度、湿度、光照和机械保护等)及暴露的最差运输条件。提交申报产品可在特定或者预期的条件下运输的研究资料。
4.阳性判断值研究
阳性判断值即为能够获得理想的检测准确性的临界值(Cut-off)。研究样本应为预期使用人群的真实样本,涵盖中国人群常见HLA-B*27亚型。样本来源应具有地域和民族多样性,考虑不同时间和生理/病理状。
采用受试者工作特征(ROC)曲线的方式进行研究,亦可采用其他科学合理的方法进行阳性判断值研究。
申请人应详述试验方案,列明所用试剂、仪器、对比方法、样本量、样本入组标准;提交阳性判断值研究所用样本的背景信息列表,至少包括民族、性别、年龄、来源、唯一可溯源编号、临床诊断信息等及试验结果等。
如果试剂判读存在灰区,应解释说明灰区范围的确定方法。
提供内标检测结果范围的确定方法和研究资料。
5.其他资料
5.1主要原材料研究资料
该类产品的主要原材料包括引物、探针、酶、dNTP、核酸分离/纯化组分、质控品、参考品等。应提供主要原材料的选择、来源、制备过程、质量控制标准等相关研究资料。如主要原材料为企业自制,应提供详细的制备过程及支持性资料;如主要原材料源于外购,应提供资料包括:选择该原材料的依据及对比筛选试验资料、供货方提供的质量标准、出厂检验报告,以及该原材料到货后的质量检验资料。
5.1.1引物和探针
应详述引物、探针的设计原则,提供引物探针序列、靶基因序列及两者的对应情况。建议设计两套或多套引物探针以供筛选,针对待测位点的检测灵敏度和特异性等进行评价,选择最佳引物探针组合,并提交详细的筛选研究数据。同时应针对检测靶序列、引物和探针与公开数据库进行同源性分析,如有同源序列应着重评价是否会有交叉反应。
申请人应针对选定的引物、探针原材料进行质量评价,一般包括:外观、分子量、纯度、浓度、探针荧光标记基团的激发波长和发射波长,以及功能性试验等,并依据评价结果建立合理的质量标准。
5.1.2脱氧三磷酸核苷(dNTP)
包括dATP、dCTP、dGTP、dTTP或dUTP;应提交对其纯度、浓度、保存稳定性以及功能性试验等资料,并确定质量标准。
5.1.3酶
可能涉及到的酶包括DNA聚合酶、尿嘧啶DNA糖基化酶等,应分别对酶活性、热稳定性、功能性试验等进行评价和验证,并确定质量标准。
DNA聚合酶应具有DNA聚合酶活性,无核酸内切酶活性,具有热稳定性。UDG/UNG应具有水解尿嘧啶糖苷键的活性,无核酸外切酶及核酸内切酶活性。
5.1.4质控品
选择检测范围内一种或多种亚型制备阳性质控品,同时设置不含待测靶序列的空白质控品用于交叉污染的质控。
质控体系应能够对检测全过程进行有效的质量控制,包括试剂及仪器性能、可能的扩增反应抑制物(管内抑制)、交叉污染等因素造成的假阴性或假阳性结果。质控品可采用临床样本核酸提取液、细胞系或质粒等。空白质控品应参与样本核酸的平行提取。申请人应针对质控品原料来源、选择、制备、定值过程等提供详细的研究资料,并对质控品的检测结果做出明确的范围要求。
5.1.5 内标
内标,又称内对照,可对管内抑制导致的阴性结果进行质量控制,应与靶核酸一同提取及扩增。HLA-B基因存在个体差异,并非所有人体均具有HLA-B*27,因此试剂盒中需另外设置内标对照。申请人需对内标的引物、探针设计和相关反应体系的浓度做精确验证,既要保证内标荧光通道呈明显的阳性曲线又要尽量降低对靶基因检测造成的抑制。明确内标的检测结果Ct值范围。建议科学设置内标,对待测样本的取样质量、试剂的反应体系进行监控。
5.1.6核酸提取/纯化试剂(如有)
应提供试剂的主要组成、原理介绍及相关的筛选及验证资料。
5.1.7企业参考品
该类产品的企业参考品一般包括阳性参考品、阴性参考品、检出限参考品和精密度参考品。企业参考品应为真实样本,且应根据产品特点和性能验证的实际需要进行设置。
应提交企业参考品的原料来源、选择、制备、浓度及基因亚型确认方法或试剂等相关研究资料。企业参考品的设置建议如下:
阳性参考品应包含可检出的各HLA-B*27亚型,且应设置不同浓度水平。
阴性参考品应考虑检测特异性的评价,纳入同源序列交叉反应样本、干扰样本、HLA-B*27阴性样本等。
检出限参考品的设置与阳性参考品相同,浓度水平应包括最低检出限浓度(95%检出)或略高于最低检出限浓度(100%检出)。
精密度参考品至少包括HLA-B*27:04和HLA-B*27:05;每个亚型包括高、低两个浓度水平,其中一个浓度应为检出限附近的浓度。
5.2生产工艺研究资料
该类产品生产工艺研究资料主要包括工作液配制(引物探针浓度、酶浓度、dNTP浓度、缓冲液离子浓度等)、分装和冻干、荧光标记等工艺过程的描述及确定依据。
生产过程应对关键参数进行有效控制,可结合工艺流程图描述生产工艺过程,明确关键工艺质控步骤,并详细说明该步骤的质控方法及质控标准。并提交主要生产工艺的确定及优化研究资料。
(四)临床评价资料
临床试验的开展、方案的制定以及报告的撰写等均应符合相关法规及《体外诊断试剂临床试验技术指导原则》的要求,如相关法规、文件有更新,临床试验应符合更新后的要求。
1.临床试验机构
应选择至少3家(含3家)已备案的临床试验机构,按照相关法规的要求开展临床试验。申请人应根据产品特点及预期用途,综合不同地区人种和流行病学背景等因素选择临床试验机构。临床试验机构应具有分子生物学方法检测的优势,实验操作人员应有足够的时间熟悉检测系统的各环节,熟悉临床试验方案。
2.临床试验方法
建议申请人选择境内已批准上市的同类产品作为对比试剂,采用试验体外诊断试剂与之进行对比试验研究,评价试验体外诊断试剂的临床性能。对比试剂的选择应从预期用途、样本要求、检测性能等方面,确认其与试验体外诊断试剂具有较好的可比性。
鉴于目前已批准产品均不可分型,如选择已上市同类产品作为对比试剂,还应选择临床参考方法(如:一代测序)对临床试验中的阳性样本进行分型,确认试验体外诊断试剂所声称的基因亚型均被验证。
3.受试者选择和样本类型
3.1受试者选择
受试者应为强直性脊柱炎疑似患者,应具有相关疑似症状或体征等,如:炎性腰背痛、外周关节炎和足趾炎等。
3.2 样本类型
适用的样本类型一般为静脉全血。临床试验应纳入临床原始样本,不应直接采用提取的基因组DNA进行试验。临床样本的采集、处理、保存和提取等应分别满足试验体外诊断试剂说明书以及对比试剂说明书的相关要求。
4.临床试验样本量
临床试验样本量应满足统计学要求,可采用适当的统计学方法进行估算。
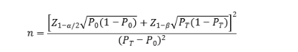
建议采用单组目标值法进行样本量估算。阳性符合率和阴性符合率的临床可接受标准(P0)建议均不低于95%。

上述公式中,n为样本量;Z1-α/2、Z1-β为显著性水平和把握度的标准正态分布的分数位,P0为评价指标的临床可接受标准,PT为试验体外诊断试剂评价指标预期值。
临床试验总体样本量确定时应在上述阳、阴性样本最低样本量估算的基础上,同时考虑其他可能造成受试者脱落情况等适当增加入组样本量。
如果试验体外诊断试剂声称了可检测的具体基因亚型但不能分型,临床试验入组样本应覆盖所有声称的基因亚型,每种基因亚型分别具有一定例数。
如果试验体外诊断试剂声称可检测HLA-B*27基因未限定亚型,则临床试验至少应纳入常见的基因亚型HLA-B*27:04、HLA-B*27:05、HLA-B*27:02和HLA-B*27:07等,每种基因亚型均应具有一定例数。
5.统计学分析
应对入组人群进行人口学分析,包括年龄、性别和临床诊断背景信息等。应总结各基因亚型的例数。以2×2表分别总结两种试剂的定性检测结果,并分别计算阳性符合率、阴性符合率和总符合率及其95%置信区间。
在数据收集过程中,对于两种试剂检测结果不一致的样本,建议采用合理方法进行复核,并对差异原因进行分析。如无需复核,应说明理由。
6.伦理学要求
临床试验必须符合赫尔辛基宣言的伦理学准则。研究者应考虑临床试验用样本的获得和试验结果对受试者的风险,提请伦理委员会审查,并获得伦理委员会的同意。注册申报时应提交伦理委员会的审查意见。
7.临床试验方案
各临床试验机构应执行同一方案,且保证在整个临床试验过程中遵循预定的方案,不可随意改动。整个试验过程应在临床试验机构的实验室内并由本实验室的技术人员操作完成,申报单位的技术人员除进行必要的技术指导外,不得随意干涉试验进程。
试验方案应确定严格的入选/排除标准,任何已入选的样本被排除出临床试验都应记录在案并明确说明原因。在试验操作过程和结果判定时应采用盲法以保证试验结果的客观性。各临床试验机构选用的对比试剂应保持一致,以便进行合理的统计学分析。
8.临床试验小结和报告撰写
临床试验小结和报告应对试验的整体设计及各个关键点给予清晰、完整的阐述,应对整个临床试验实施过程、结果分析、结论等进行条理分明的描述,并应包括必要的基础数据和统计分析方法,最后得出临床试验结论。临床试验小结和报告的撰写参考《体外诊断试剂临床试验技术指导原则》等的相关要求。
(五)产品说明书
产品说明书格式应符合《体外诊断试剂说明书编写指导原则》的要求。产品说明书的技术内容应与注册申报资料中的相关研究结果保持一致,如某些内容引用自参考文献,应以规范格式对此内容进行标注,并单独注明文献的相关信息。
以下内容仅对HLA-B*27基因检测试剂说明书的重点内容进行详细说明,说明书其他内容应根据《体外诊断试剂说明书编写指导原则》要求进行编写。
1.【预期用途】 应至少包括以下几部分内容:
1.1本产品用于体外定性检测人体静脉外周血样本中的HLA-B*27基因。
1.2介绍被测基因与临床适应证的关系,明确HLA-B*27在中国人群中的分布频率,在临床适应证人群中的发生频率。
1.3明确本产品检测结果仅供临床参考,临床医生应结合患者病情、疗效及其他实验室检测指标等对本产品的检测结果进行综合判断。
2.【检验原理】
2.1对被测靶基因在HLA-B基因中的区域位置,片段大小、保守与否等进行详细描述,对试剂盒所用探针、引物、阳性结果的判定方式等进行详细的介绍;明确内标基因的名称及其作用。对不同样本反应管组合、质控品设置及荧光信号检测原理等进行介绍。
2.2如反应体系中添加了相关的防污染组分(如UNG酶),也应对其作用机理进行简要介绍。
3.【主要组成成分】
明确试剂盒中各组分的名称、数量和装量。
明确各组分中的引物、探针、酶、dNTP、缓冲液名称、防腐剂名称。
明确需要但未提供的材料,例如核酸提取试剂等的产品名称、注册人,货号及注册证号。
明确不同批号试剂盒中各组分是否可以互换。
4.【检验方法】
详细说明试验操作的各个步骤,包括:
4.1试验条件:必要时,应明确实验室分区、试验环境的温度、湿度和空调气流方向控制等注意事项。
4.2试剂配制方法和注意事项。
4.3详述核酸提取纯化的条件、步骤及注意事项,列明全血样本用量、洗脱体积等;对核酸提取纯化环节进行合理的质量控制,明确提取核酸的浓度纯度等质量要求。
4.4扩增反应前准备:加样体积、顺序等。
4.5 PCR各阶段的温度、时间设置、循环数设置或相应的自动化检测程序及相关注意事项。
4.6仪器设置:特殊参数、探针的荧光素标记情况、各荧光通道选择等。
5.【阳性判断值】
明确靶基因和内标基因的阳性判断值,简要说明建立和验证阳性判断值的基本信息,包括样本量、人群特征(民族、性别、年龄、生理/病理状态等)和采用的统计学方法。
6.【检验结果的解释】
以列表形式详述所有可能出现的结果及相应的解释。
7.【检验方法的局限性】
7.1列明可检测的HLA-B*27亚型,明确其他亚型未进行验证。
7.2明确可能出现的交叉反应。列明可检出的同源序列、其他HLA基因等。
7.3有关假阴性结果的可能性分析。
7.3.1不合理的样本采集、运送及处理或核酸过度降解均有可能导致假阴性结果。
7.3.2未经验证的其他干扰或PCR抑制因子等可能会导致假阴性结果(如有)。
7.4 明确是否可区分HLA-B*27杂合或纯合。
7.5明确正常人群中也可表达HLA-B*27,临床使用中应结合检测结果、其他症状/体征、病史、实验室检查及治疗反应等情况综合考虑。
8.【产品性能指标】
8.1符合国家标准品的情况。
8.2准确度研究方案和结果。
8.3精密度研究的总结,包括实验方案、样本量、各样浓度水平、不精密度考虑因素(时间、地点和人员等)。
8.4最低检出限。明确可检出DNA浓度水平范围。
8.5干扰研究结果。明确各内源和外源性干扰物对检测结果不产生影响的最高浓度。
8.6交叉反应研究结果。明确纳入研究的同源序列/HLA基因是否存在交叉反应。
8.7 包容性研究总结。明确可检出的亚型。
8.8临床试验总结。
9.【注意事项】应至少包括以下内容:
9.1如该产品含有人源或动物源性物质,应给出具有潜在感染性的警告。
9.2临床实验室应严格按照《医疗机构临床基因扩增实验室管理办法》等有关分子生物学实验室、临床基因扩增实验室的管理规范执行。
(六)质量管理体系文件
申请人应当在申请注册时提交与产品研制、生产有关的质量管理体系相关资料。详述产品的生产过程,提供生产工艺流程图。明确申报产品反应及检测原理和过程,标明主要控制点与项目及主要原材料、采购件的来源及质量控制方法。
如适用,应当提供拟核查产品与既往已通过核查产品在生产条件、生产工艺等方面的对比说明。
三、参考文献
[1]国家市场监督管理总局.体外诊断试剂注册与备案管理办法: 国家市场监督管理总局令第48号[Z].
[2]国家药品监督管理局.关于公布体外诊断试剂注册申报资料要求和批准证明文件格式的公告:国家药品监督管理局2021年第122号[Z].
[3]国家药品监督管理局.体外诊断试剂说明书编写指导原则.国家药品监督管理局2024年第1号[Z]
[4]国家药品监督管理局.医疗器械产品技术要求编写指导原则.国家药品监督管理局2022年第8号[Z].
[5]国家药品监督管理局.体外诊断试剂分类规则.国家药品监督管理局2021年第129号[Z].
[6]国家药品监督管理局 国家卫生健康委员会.医疗器械临床试验质量管理规范.国家药品监督管理局 国家卫生健康委员会2022年第28号[Z].
[7]国家药品监督管理局.体外诊断试剂临床试验技术指导原则:国家药品监督管理局2021年第72号[Z].
附件1-1
背景信息
强直性脊柱炎是一种慢性炎性疾病,本病常发于青壮年男性,主要侵犯骶髂关节、脊柱骨突、脊柱旁软组织和外周关节,可伴发前葡萄膜炎等关节外表现,严重者发生脊柱畸形和强直。
HLA-B*27基因位于人类第6号染色体短臂HLA基因B座,具有高度基因多态性,其表达产物为HLA-B27抗原。HLA-B27 抗原表达与强直性脊柱炎高度相关,超过90%的强直性脊柱炎患者的HLA⁃B27 抗原表达为阳性,而普通人群中仅5% ~10% 为阳性。HLA-B*27在其他脊柱关节炎疾病中也有不同的检出,在反应性关节炎中阳性率可达60%-90%,在银屑病关节炎和炎性肠病关节炎中阳性率均可达50%-60%。
HLA-B*27约有167个基因亚型,各亚型分布存在地域和人种差异。HLA-B*27:05是全球分布最广的亚型,被认为是其他基因亚型的祖基因。在中国汉族人群中,HLA-B*27:04和HLA-B*27:05是主要优势亚型,同时还存在HLA-B*27:02、HLA-B*27:03、HLA-B*27:06、HLA-B*27:07、HLA-B*27:09。HLA-B*27:02、HLA-B*27:04、HLA-B*27:05和HLA-B*27:07是疾病易感基因,而HLA-B*27:03、HLA-B*27:06和HLA-B*27:09与疾病的关系尚存在争议。